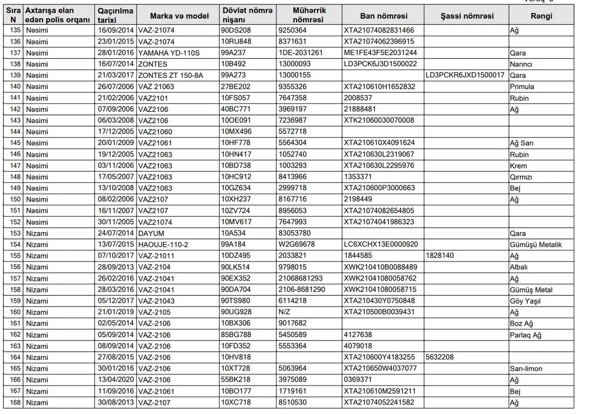
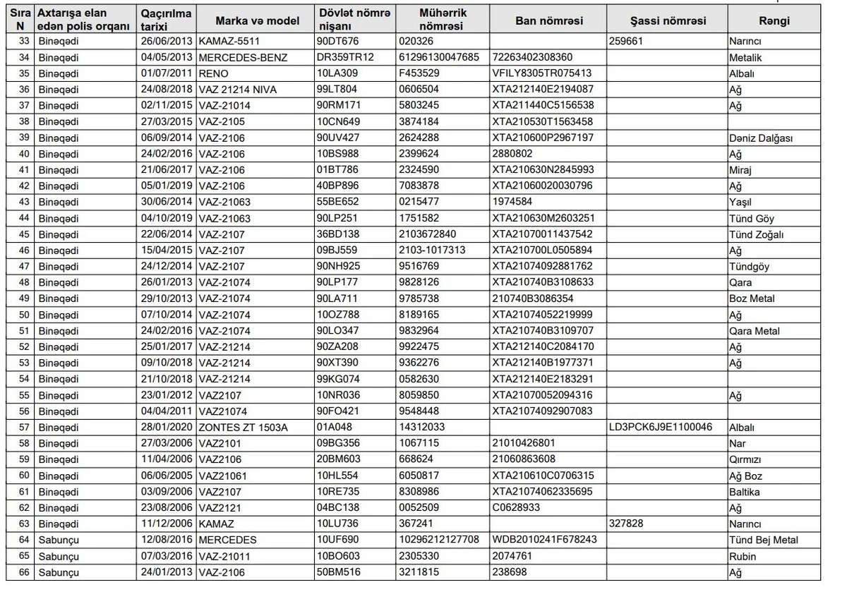
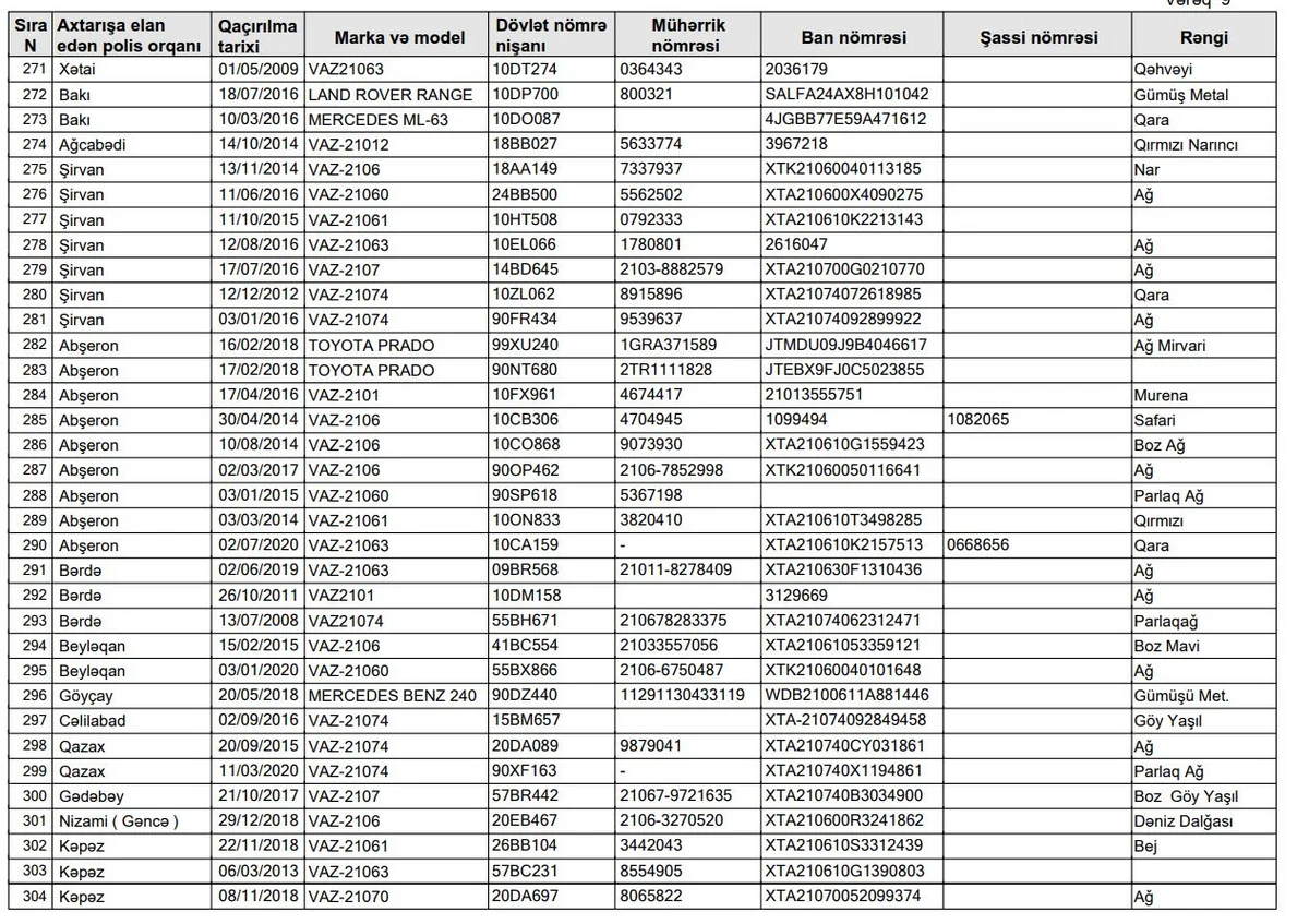
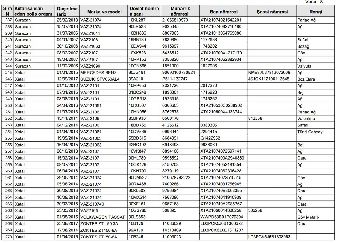
Azərbaycanda 344 nəqliyyat vasitəsi axtarışdadır - SİYAHI
Hadisə
- 22 yanvar, 2021
- 12:43
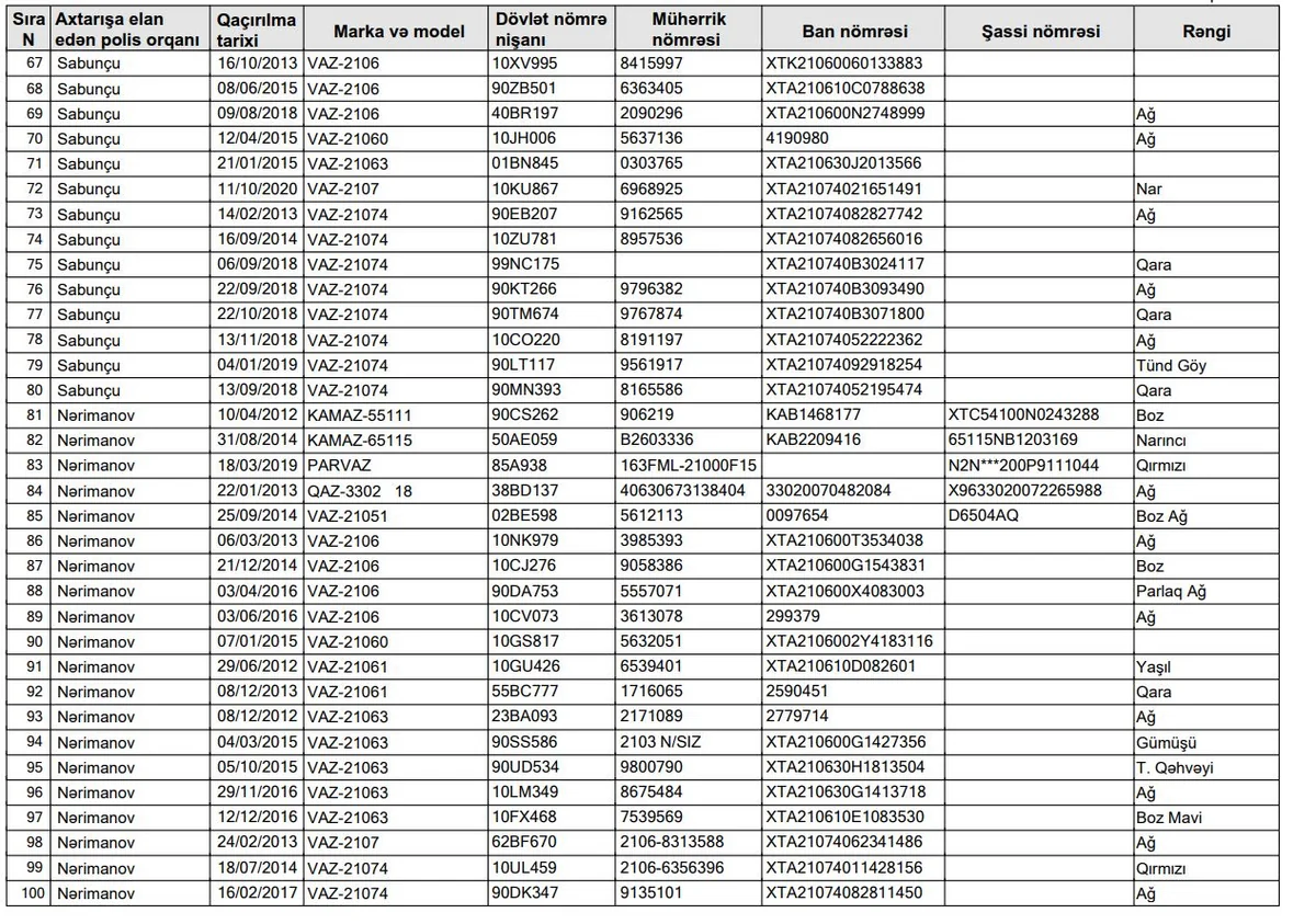
Azərbaycanda axtarışda olan nəqliyyat vasitələrinin sayı və siyahısı məlum olub.
“Report”un əldə etdiyi məlumata görə, 2021-ci ilin əvvəlinədək 344 nəqliyyat vasitəsi axtarışa verilib.
Axtarışda olan nəqliyyat vasitələrinin içərisində motosikletlər, "VAZ" markalı maşınlarla yanaşı “Toyota Prado”, “Land Rover Range”, “Mercedes”, “KIA”, “Hyundai”, “Jeep Grand” və “Porsche Cayenne” də var.
“Report” axtarışda olan nəqliyyat vasitələrinin siyahısını təqdim edir.
Son xəbərlər
05:41
Səudiyyə Ərəbistanında raket qalıqları enerji obyektlərinə ziyan vurub
Digər ölkələr05:14
KİV: Britaniya Hörmüz boğazının təhlükəsizliyi ilə bağlı 40 ölkənin hərbçiləri ilə görüş keçirəcək
Digər ölkələr04:32
Çexiyada dizelin qiyməti son dörd ildə ən yüksək həddi keçib
Digər ölkələr04:08
ABŞ Silahlı Qüvvələri İranın 155-dən çox gəmisinə zərbə endirdiyini bildirib
Digər ölkələr03:44
KİV: Mülki infrastrukturlara zərbələr Britaniya bazalarının istifadə şərtlərini poza bilər
Digər ölkələr03:21
ABŞ SEPAH-ın "USS Tripoli" desant gəmisinə hücum xəbərini təkzib edib
Digər ölkələr02:57
İsrail və Yunanıstan PULS raket sistemlərinin tədarükü ilə bağlı müqavilə imzalayıb
Digər ölkələr02:38
Ferit Hoxha: Aİ-nin heç bir üzvü Albaniyanın ittifaqa qoşulmasını bloklamayıb
Digər ölkələr02:13